Notice
Recent Posts
Recent Comments
Link
| 일 | 월 | 화 | 수 | 목 | 금 | 토 |
|---|---|---|---|---|---|---|
| 1 | 2 | 3 | ||||
| 4 | 5 | 6 | 7 | 8 | 9 | 10 |
| 11 | 12 | 13 | 14 | 15 | 16 | 17 |
| 18 | 19 | 20 | 21 | 22 | 23 | 24 |
| 25 | 26 | 27 | 28 | 29 | 30 | 31 |
Tags
- Kotlin in action 6장
- 고급매핑
- 코틸린인액션
- Kotlin in action 10장
- spring
- 백준 20055 컨베이어 벨트 위의 로봇
- 20055
- 스프링 핵심 원리 이해
- Kotlin In Action
- 백준 13460 Python
- 싱글톤 컨테이너
- 20055 컨베이어 벨트 위의 로봇
- Kotlin in action 5장
- 코틀린인액션
- Kotlin in action 3장
- 컨베이어 벨트 위의 로봇 Python
- 스프링 핵심 원리
- 객체 지향 설계와 스프링
- 스프링 핵심 원리 - 기본편
- 기능개발 python
- 7장 고급매핑
- KotlinInAction
- kotlin in action 정리
- 코틀린
- 자바 ORM 표준 JPA 프로그래밍 7장
- Kotlin
- 13460 구슬탈출 2
- 스프링 컨테이너와 스프링 빈
- 백준
- Python
Archives
- Today
- Total
기록하는 습관
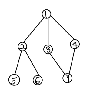
[알고리즘] 탐색 - DFS(C++) 본문
DFS : stack 또는 recursion 사용하여 구현
주의할 점 - 그래프가 여러개 일 수 있으므로 모든 정점에 대해 dfs 수행하기!!




<Recursion>
#include <iostream>
#include <vector>
using namespace std;
vector<vector<int>> edge; // 간선들을 저장하는 vector
vector<bool> check; // 노드 방문 여부 check
int N, M, start; // 노드 개수, 간선 개수, 시작점
int u, v; // 간선 u -> v 연결
void dfs(int start) {
check[start] = true; // start로 들어온 노드 방문 표시
cout << start << ' ';
for (int i = 0; i < edge[start].size(); i++) {
int next = edge[start][i];
if (check[next]) continue; // 이미 방문한 노드면 continue
dfs(next); // 다음 노드로 dfs 수행
}
}
int main() {
cin >> N >> M >> start;
edge.resize(N + 1);
check.resize(N + 1);
for (int i = 0; i < M; i++) {
cin >> u >> v;
edge[u].push_back(v);
}
for(int i=1; i<=N; i++){
sort(edge[i].begin(), edge[i].end()); // node값에 순차적으로 접근하기 위한 sorting
}
dfs(start);
}
| Sample Input | Sample output |
|
8 11 1 |
1 3 4 6 2 8 7 5 |
<stack>
1. stack의 top에 있는 노드를 기준으로 간선이 연결 되어 있으며, 아직 방문하지 않은 노드 찾기
2. 해당 노드를 stack에 넣은 후 break 걸기
3. 연결된 간선이 없으며, 방문하지 않은 노드를 찾지 못하면 pop.
#include <iostream>
#include <vector>
#include <stack>
#include <algorithm>
using namespace std;
// 인접리스트, 스택으로 구현
void dfs(int start, vector<vector<int>> graph, vector<bool> check) {
stack<int> s;
int current_node, next_node;
s.push(start);
check[start] = true;
printf("%d ", start);
while (!s.empty()) { // stack이 비어 있을 때까지 반복
current_node = s.top();
s.pop();
for (int i = 0; i < graph[current_node].size(); i++) {
next_node = graph[current_node][i];
if (!check[next_node]) { // 아직 방문하지 않은 노드라면..
printf("%d ", next_node);
check[next_node] = true; // 방문 완료 표시
s.push(current_node);
s.push(next_node);
break; // dfs를 진행하기 위함
}
}
}
}
int main() {
int N, M, start;
int u, v;
vector<vector<int>> graph;
vector<bool> check;
cin >> N >> M >> start;
graph.resize(N + 1);
check.resize(N + 1);
for (int i = 0; i < M; i++) {
cin >> u >> v;
graph[u].push_back(v);
graph[v].push_back(u);
}
for (int i = 1; i <= N; i++) {
sort(graph[i].begin(), graph[i].end());
}
dfs(start, graph, check);
return 0;
}
| Sample Input | Sample Output |
| 5 5 3 5 4 5 2 1 2 3 4 3 1 |
3 1 2 5 4 |
참고 블로그 : https://twpower.github.io/73-how-to-implement-dfs-and-bfs-in-cpp
'알고리즘 > [개념] 알고리즘' 카테고리의 다른 글
| [알고리즘] DFS, BFS Python 핵심 코드 정리 (0) | 2021.06.06 |
|---|---|
| [알고리즘] 탐색 - DFS vs BFS (0) | 2020.01.09 |
| [알고리즘] 탐색 - BFS (0) | 2020.01.09 |
| [알고리즘] 그래프(Graph) 구현 (0) | 2020.01.08 |
| [알고리즘] Greedy Algorithm (0) | 2020.01.07 |
Comments